广东自考2026年4月报名报考详细流程!附上4月使用教材
添加顾问 立领优惠
如果你是在职人员想要快速拿证;
面试心仪工作,因学历不达标被拒的;申请落户、领取就业补贴,竟卡在学历门槛的;备战考公、考编,才发现学历是第一道关的;
现在报名小自考,最快1.5年就能拿下本科毕业证!本文详情说说小自考开考专业!
一、2026年广东4月自考时间
| 事项\时间 | 上半年 | |
| 报名报考 | 1月考试 | 报名:2025年11月25-28日 |
| 报考:2025年12月2-5日 | ||
| 4月考试 | 报名:2月26日-3月1日 | |
| 报考:3月3-6日 | ||
| 考 ?试 | 1月考试: 1月10-11日4月考试: 4月11-12日 | |
| 打印准考证查询考点座位 | 考试开始前10天至考试结束止,考生可登录广东省自学考试管理系统(https://www.eeagd.edu.cn/selfec/)自行打印准考证;准考证上包含考点座位信息。 | |
| 考试成绩公布(省自考管理系统) | 1月考试:2月上旬4月考试:5月中旬 |
(来源:广州招考)
二、报名详细流程
预报名(新生)
报名入口:广东省自学考试管理系统 :https://www.eeagd.edu.cn/zkselfec/
(1)注册账号
用身份证和手机号注册账号,接受验证码。下一步就是设置密码,设置密码格式:字母+数字+特殊符号。
(2)录入个人信息
录入好个人信息后,提交获取唯一的预报名号(仅当次有效,务必截图保存)。再用预报名号 + 设置的密码,再次登录自考管理系统【考生入口】。
(3)上传照片
按照要求进行相片采集,审核通过后将得到自考准考证号(用于报名的自考报考)
标准的证件照:蓝底免冠,露耳朵眉毛,禁止美颜。
常见审核不通过的原因:翻拍纸质照片、戴眼镜、刘海遮眉、像素过低。
特殊情况:若因面容变化等原因无法线上报名,或信息审核未通过,需联系所在县区市考办。
1、自考系统“预报名信息”界面,拉到底部,点击“采集相片”按钮
2、核对个人信息,点击“确认无误”按钮
3、了解采集相片规则后,下拉找到“我知道了,去拍照”按钮并点击。
4、使用微信或主流浏览器扫描系统弹出的二维码
5、使用微信或主流浏览器扫码后,须重新核对个人信息,核对无误后,点击“确认无误”按钮。
6、了解相片采集规范后,点击“我知道了,去拍照”按钮。
7、点击“我知道了,去拍照”按钮后,会调用“摄像头”进行摄像,按照规范摄像完成。
8、拍摄完满意的照片后,点击“我已摄像完成”按钮。
最后完成摄像后请等待审核。当审核完成即可生成准考证号。
(4)生成准考证号
照片采集一般1-3天就能知道审核是否通过,系统自动生成12位准考证号码。务必截图保存,这是你后面报名报考、查分、毕业以及学士学位申请的重要凭证。
三、报考详细流程
1、登录广东省自考报考系统,点击 “考生报考” 进入登录界面;输入个人准考证号、密码及页面验证码,即可登录报考平台;
?? 温馨提示:若忘记登录密码,需返回 “考生入口” 页面,通过预留手机号或身份信息完成密码找回,再重新登录哦~
报名入口:https://www.eeagd.edu.cn/selfec/
2、点击“考生报考”
3、选择“考试县区”→输入报考科目→保持报考信息→确认报考信息

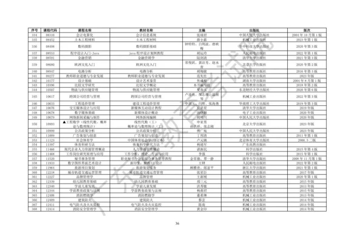
四、自考教材
2026年4月广东省高等自学考试开考课程使用教材表
















粤ICP备18120811号
电子营业执照


