2026年自考新生如何报考科目?附上4月开考课程以及使用教材
2026-01-04 16:27:49 大牛学历网
添加顾问 立领优惠
随着2026年4月自考报名时间的临近。特别是对于第一次参加自考的考生来说,面对繁多的考试科目不知从何下手。那么作为自考新生,一次报考几门课程最合适呢?
一、4月开考课程
1、2026年起执行专业调整后新计划45个专业和2024年新开考20个专业







上下滑动查看
2、2026年起仅调整专业代码、专业名称,暂不调整专业考试计划专业

二、4月自考教材
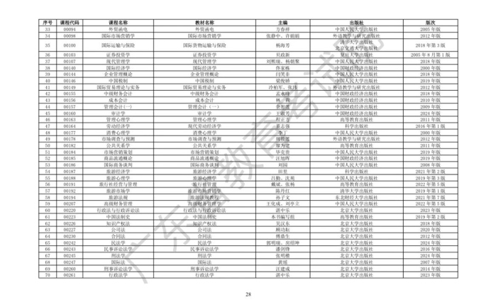
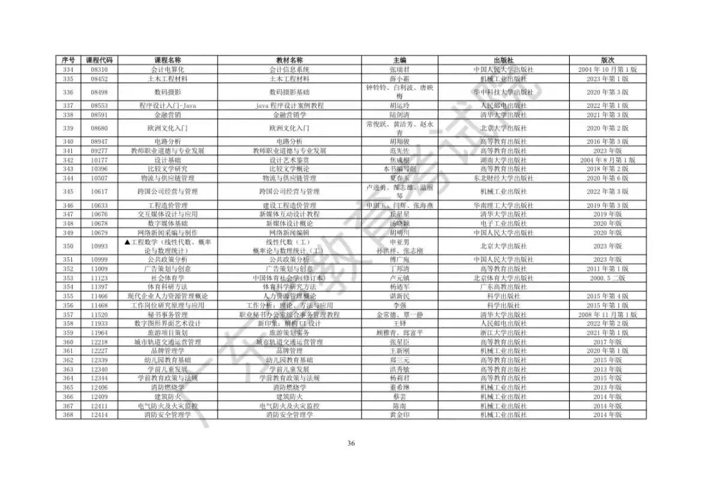
1、2026年4月广东省高等自学考试开考课程使用教材表
















三、自考新生如何报考
1、合理规划,不宜贪多?
对于新生而言,初次接触自考,对考试形式、题型难度等还不太熟悉,因此不建议一开始就报考过多课程。一般来说,?报考2-3门课程?是比较合适的选择。这样既可以保证考生有足够的时间和精力进行复习备考,又可以避免因为报考过多课程而导致精力分散、复习不充分的情况发生。
?2、难易搭配,提高效学习?
一般来说,公共课相对于专业课来说难度较低,因此建议考生在报考时将公共课和专业课相结合。这样既可以保证考生在备考过程中有张有弛,又可以提高整体通过率。当然,如果考生对某门专业课特别有把握,也可以考虑多报考一门专业课。
?3、根据自身情况灵活调整?
虽然报考2-3门课程是比较合适的选择,但并不意味着所有新生都必须严格遵守这一标准。考生还需要根据自己的实际情况进行灵活调整。比如,如果考生备考时间充裕、学习能力强,那么报考4门课程也是可以的。反之,如果考生备考时间紧张、学习能力较弱,那么报考1-2门课程可能更为稳妥。
距离26年自考报名还剩
0
2
5
天
考试辅导
报考咨询
精彩推荐
【通知】广东财经大学关于2026年4月批次自学考试新生报名时间
2025-12
2026年在职学历提升VS考资格证,哪个更重要?
2025-12
醒醒吧,该对自考祛魅了
2025-12
汕头性价比很高的10大自考助学点排行榜2026(盘点)
2025-12
2026年广东自考热门院校名单出炉!你想pick哪一所院校呢?
2026-01
2026年广州大学自学考试招生简章已公布!附学位申请要求
2026-01
拿学位证必看!成考学位证(英语二/学位英语/公共英语)有什么区别?该考哪个?
2026-01
2026年新政策!1月自考考生缺考会被禁考?附上自考考试注意事项
2026-01
2026年1月自考成绩公布了?附上4月报考时间!
2026-01
学历提升必看!2026年成人高考和自考有何区别,看看自己适合哪一种
2026-01
最新文章
学历提升必看!2026年成人高考和自考有何区别,看看自己适合哪一种
2026-01
2026年广东成人高考报名已开启,报考流程、报名院校专业全汇总!
2026-01
【官方通知】2026年广东省更等教育自学考试报名报考时间已公布!
2026-01
2026年广东自考学位英语变难了?学位英语通过率只有20%?
2026-01
一次教你搞定2026年自考毕业论文!选题到答辩全程干货
2026-01
2026年自考改革开始:实行什么新规定?自考生如何应对?
2026-01
2026年4月广东自考报名时间公布了吗?1月考期成绩怎么查询?
2026-01
2026年广东小自考:哪些专业统考最少?有没有加分呢?
2026-01
错过大学学位证不用愁!这个几个补救方法帮你拿学位证
2026-01
2026年自考新政策:实行哪些新规定?又该如何高效应对?
2026-01
粤ICP备18120811号
电子营业执照


